Mineral Exploration
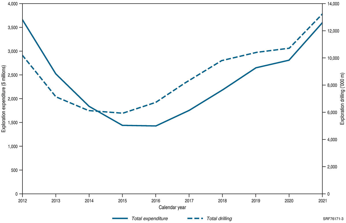
Mineral exploration expenditure in 2021 was impacted by various federal and state health controls implemented to limit the COVID-19 pandemic. Despite this, overall exploration expenditure remained strong in Australia, buoyed in particular by high gold and iron ore prices. Quarterly reports on mineral exploration data published by the Australian Bureau of Statistics12 show that total mineral exploration expenditure for the 2021 calendar year was up 28% to $3,596 million compared to the 2020 calendar year ($2,809 million; Figure 3).
In the search for new mineral deposits, exploration expenditure and drilling in greenfield tenements was up 26% from $957 million in 2020 to $1,208 million in 2021, and metres drilled up 10% from 3,736,500 m in 2020 to 4,120,500 m in 2021. Likewise, exploration expenditure and drilling around existing deposits (brownfield) was up 29% to $2,388 million in 2021 compared to $1,852 million in 2020, and metres were up 30% to 9,090,100 m from 6,996,500 m in 2020 (Figure 4).
In 2021, exploration expenditure was at the highest levels ever recorded in both Western Australia (up 34% to $2,351 million) and Victoria (up 43% to $219 million; Figure 5). Western Australia accounted for 65% of national exploration expenditure in 2021, followed by Queensland with 12% ($445 million). In fact, most Australian jurisdictions saw an increase in exploration as COVID-19 restrictions eased during 2021. Tasmania was particularly noteworthy with its exploration expenditure almost doubling, up 94% to $21 million.
Gold was the most explored for commodity in 2021, accounting for 44% of all mineral exploration expenditure and a new record of $1,599 million (Figure 6). As well as record prices and exploration expenditure, sustained interest in gold over the past six years has led to large tonnages of resources being upgraded to economic categories and Australia’s gold inventory remaining the largest in the world over the past decade.
Iron ore attracted the next largest exploration expenditure in 2021, up 41% to $557 million from $395 million in 2020, followed closely by copper in third place. Copper increased by 65% to $550 million in 2021, from $334 million in 2020, to almost overtake iron ore (Figure 6). Exploration for diamonds increased by 87% to $5.6 million from $3.0 million in 2020, and uranium saw a similar increase of 84% to $12 million from $6.7 million 2020. Coal is the only commodity that saw a decline with exploration expenditure down 22% to $226 million, from $292 million in 2020.
12 ABS, Quarterly Statistics, Mineral and Petroleum Exploration Australia September 2022. (accessed 5 December 2022).




